W tym zadaniu musisz wymyśleć do każdego równania spośród I. 3x – 2y = 4 II. x + 2y = -4 III. 3y – 4 = 7x IV. y – 3 = 0 inne równanie tak, aby układ tych równań miał dokładnie jedno rozwiązanie.
I. 3x – 2y = 4
Na przykład x = 2:
3 ∙ 2 – 2y = 4
6 – 2y = 4 /-6
-2y = -2 /:(-2)
y = 1
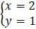
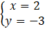
II. x + 2y = -4
Na przykład x = 2:
2 + 2y = -4 /-2
2y = -6 /:2
y = -3
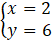
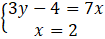
III. 3y – 4 = 7x
Na przykład x = 2:
3y – 4 = 7 ∙ 2 /+4
3y = 14 + 4
3y = 18 /:3
y = 6
IV. y – 3 = 0
Na przykład x = 2:
Aby najprościej dopasować drugie równanie tak, aby powstał układ oznaczony, wystarczy, że będzie to równanie z jedną niewiadomą przyrównaną do liczby.
Zadanie 1
84Zadanie 2
84Zadanie 4
84Zadanie 5
84Zadanie 8
85Zadanie 9
85Zadanie 10
85Zadanie 11
85Zadanie 12
85Zadanie 13
86Zadanie 14
86Zadanie 17
86Zadanie 1
87Zadanie 2
87Zadanie 3
87Zadanie 4
87Zadanie 5
87Zadanie 6
87Zadanie 7
88Zadanie 9
88Zadanie 14
89Zadanie 15
89Zadanie 16
89Zadanie 18
89Zadanie 19
89Zadanie 21
89Zadanie 1
90Zadanie 2
90Zadanie 3
90Zadanie 4
90Zadanie 5
90Zadanie 6
90Zadanie 7
90Zadanie 8
91Zadanie 9
91Zadanie 10
91Zadanie 11
91Zadanie 12
91Zadanie 13
91Zadanie 14
92Zadanie 16
92Zadanie 18
92Zadanie 21
92Zadanie 12
94Zadanie 5
97Zadanie 1
101Zadanie 6
101Zadanie 7
101Zadanie 10
102Zadanie 11
102Zadanie 12
102Zadanie 13
102