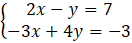
Wyznacz rozwiązania układu równań
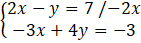
-3x + 4(2x – 7) = -3
-3x + 8x – 28 = -3
5x – 28 = -3 /+28
5x = 25 /:5
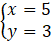
x = 5
y = 2x – 7 = 2 ∙ 5 – 7 = 10 – 7 = 3
Odp.
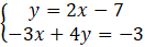
Na początku tego zadania musisz przekształcić którekolwiek z równań tak, aby po lewej stronie została sama niewiadoma. Następnie musisz podstawić pod tę niewiadomą w drugim równaniu wyznaczone wyrażenie na jej wartość. Z powstałego równania musisz wyznaczyć wartość pozostałej niewiadomej. Na końcu musisz podstawić obliczoną wartość pozostałej niewiadomej do wyznaczonego równania na pierwszą niewiadomą.
Zadanie 1
84Zadanie 2
84Zadanie 4
84Zadanie 5
84Zadanie 8
85Zadanie 9
85Zadanie 10
85Zadanie 11
85Zadanie 12
85Zadanie 13
86Zadanie 14
86Zadanie 17
86Zadanie 1
87Zadanie 2
87Zadanie 3
87Zadanie 4
87Zadanie 5
87Zadanie 6
87Zadanie 7
88Zadanie 9
88Zadanie 14
89Zadanie 15
89Zadanie 16
89Zadanie 18
89Zadanie 19
89Zadanie 21
89Zadanie 1
90Zadanie 2
90Zadanie 3
90Zadanie 4
90Zadanie 5
90Zadanie 6
90Zadanie 7
90Zadanie 8
91Zadanie 9
91Zadanie 10
91Zadanie 11
91Zadanie 12
91Zadanie 13
91Zadanie 14
92Zadanie 16
92Zadanie 18
92Zadanie 21
92Zadanie 12
94Zadanie 5
97Zadanie 1
101Zadanie 6
101Zadanie 7
101Zadanie 10
102Zadanie 11
102Zadanie 12
102Zadanie 13
102