W tym zadaniu musisz skorzystać z całkowitej ilości sportowców w klubie oraz z kosztu zakupu garderoby dla nich, aby wyliczyć liczbę pań i panów w klubie.
45 zł – cena damskiej koszulki
45 ∙ 4 = 180 zł – cena damskiej pary butów
25% ∙ 200 = 0,25 ∙ 200 = 50 zł – cena męskiej koszulki
200 zł – cena męskiej pary butów
x – liczba kobiet trenujących w tym klubie
y – liczba mężczyzn trenujących w tym klubie
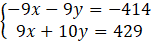
-9x – 9y + 9x + 10y = -414 + 429
y = 15
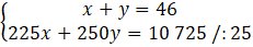
x + 15 = 46 /-15
x = 31
Odp. W tym klubie trenuje 31 pań i 15 panów.
Na początku musisz wyliczyć ceny koszulek i par butów męskich i damskich z treści zadania. W kolejnym kroku musisz oznaczyć symbolami liczbę kobiet i mężczyzn, trenujących w tym klubie. Następnie musisz zapisać pierwsze równanie, w którym suma trenujących w tym klubie wynosi 46. Drugim równaniem będzie to, że suma kosztów garderoby kobiecej i męskiej wynosi 10 725.
Zadanie 1
84Zadanie 2
84Zadanie 4
84Zadanie 5
84Zadanie 8
85Zadanie 9
85Zadanie 10
85Zadanie 11
85Zadanie 12
85Zadanie 13
86Zadanie 14
86Zadanie 17
86Zadanie 1
87Zadanie 2
87Zadanie 3
87Zadanie 4
87Zadanie 5
87Zadanie 6
87Zadanie 7
88Zadanie 9
88Zadanie 14
89Zadanie 15
89Zadanie 16
89Zadanie 18
89Zadanie 19
89Zadanie 21
89Zadanie 1
90Zadanie 2
90Zadanie 3
90Zadanie 4
90Zadanie 5
90Zadanie 6
90Zadanie 7
90Zadanie 8
91Zadanie 9
91Zadanie 10
91Zadanie 11
91Zadanie 12
91Zadanie 13
91Zadanie 14
92Zadanie 16
92Zadanie 18
92Zadanie 21
92Zadanie 12
94Zadanie 5
97Zadanie 1
101Zadanie 6
101Zadanie 7
101Zadanie 10
102Zadanie 11
102Zadanie 12
102Zadanie 13
102