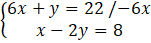
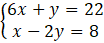
W tym zadaniu musisz wyznaczyć rozwiązania układu
x – 2(22 – 6x) = 8
x – 44 + 12x = 8
13x – 44 = 8 /+44
13x = 52 /:13
x = 4
y = 22 – 6x = 22 – 6 ∙ 4 = 22 – 24 = -2
Odp.
Na początku tego zadania musisz przekształcić pierwsze równanie tak, aby po lewej stronie został sam y. Następnie musisz podstawić pod y w drugim równaniu wyrażenie po prawej stronie pierwszego równania. Z powstałego równania musisz wyznaczyć wartość x. Na końcu musisz podstawić obliczoną wartość x do wyznaczonego równania na y.
Zadanie 1
84Zadanie 2
84Zadanie 4
84Zadanie 5
84Zadanie 8
85Zadanie 9
85Zadanie 10
85Zadanie 11
85Zadanie 12
85Zadanie 13
86Zadanie 14
86Zadanie 17
86Zadanie 1
87Zadanie 2
87Zadanie 3
87Zadanie 4
87Zadanie 5
87Zadanie 6
87Zadanie 7
88Zadanie 9
88Zadanie 14
89Zadanie 15
89Zadanie 16
89Zadanie 18
89Zadanie 19
89Zadanie 21
89Zadanie 1
90Zadanie 2
90Zadanie 3
90Zadanie 4
90Zadanie 5
90Zadanie 6
90Zadanie 7
90Zadanie 8
91Zadanie 9
91Zadanie 10
91Zadanie 11
91Zadanie 12
91Zadanie 13
91Zadanie 14
92Zadanie 16
92Zadanie 18
92Zadanie 21
92Zadanie 12
94Zadanie 5
97Zadanie 1
101Zadanie 6
101Zadanie 7
101Zadanie 10
102Zadanie 11
102Zadanie 12
102Zadanie 13
102