W tym zadaniu musisz wybrać dwa roztwory i skorzystać z sumy ilości cukru w roztworach oraz z sumy roztworów, aby wyliczyć masy mieszanych roztworów.
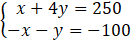
I. Zmieszano roztwór z pojemnika nr 1 i nr 3
x – masa roztworu 2-procentowego w gramach
y – masa roztworu 8-procentowego w gramach
x + 4y – x – y = 250 – 100
3y = 150 /:3
y = 50
x + 50 = 100 /-50
x = 50
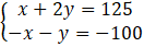
II. Zmieszano roztwór z pojemnika nr 2 i nr 3
x – masa roztworu 4-procentowego w gramach
y – masa roztworu 8-procentowego w gramach
x + 2y – x – y = 125 – 100
y = 25
x + 25 = 100 /-25
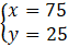
x = 75
Odp. Można zmieszać 50 g 2-procentowego roztworu z pojemnika nr 1 i 50 g 8-procentowego roztworu z pojemnika nr 3 lub 75 g 4-procentowego roztworu z pojemnika nr 2 i 25 g 8-procentowego roztworu z pojemnika nr 3.
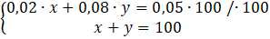
W tym zadaniu musisz wybrać roztwór 8-procentowy i najpierw roztwór 2-procentwoy, a następnie 4-procentowy. Na początku rozwiązywania danego przypadku musisz oznaczyć symbolami masy obu roztworów. Następnie musisz zapisać pierwsze równanie, w którym suma ilości cukru w poszczególnych roztworach jest równa jego ilości w 100 g 5-procentowego roztworu. Drugim równaniem będzie to, że suma mas obu roztworów jest równa 100.
Zadanie 1
84Zadanie 2
84Zadanie 4
84Zadanie 5
84Zadanie 8
85Zadanie 9
85Zadanie 10
85Zadanie 11
85Zadanie 12
85Zadanie 13
86Zadanie 14
86Zadanie 17
86Zadanie 1
87Zadanie 2
87Zadanie 3
87Zadanie 4
87Zadanie 5
87Zadanie 6
87Zadanie 7
88Zadanie 9
88Zadanie 14
89Zadanie 15
89Zadanie 16
89Zadanie 18
89Zadanie 19
89Zadanie 21
89Zadanie 1
90Zadanie 2
90Zadanie 3
90Zadanie 4
90Zadanie 5
90Zadanie 6
90Zadanie 7
90Zadanie 8
91Zadanie 9
91Zadanie 10
91Zadanie 11
91Zadanie 12
91Zadanie 13
91Zadanie 14
92Zadanie 16
92Zadanie 18
92Zadanie 21
92Zadanie 12
94Zadanie 5
97Zadanie 1
101Zadanie 6
101Zadanie 7
101Zadanie 10
102Zadanie 11
102Zadanie 12
102Zadanie 13
102