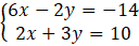
W tym zadaniu musisz odczytać współrzędne 4 punktów i podstawiać je pod równania z układu
A = (-1, -1)
6 ∙ (-1) – 2 ∙ (-1) = -6 + 2 = -4 ≠ -14
Współrzędne punktu A nie spełniają układu równań.
B = (2, -2)
6 ∙ 2 – 2 ∙ (-2) = 12 + 4 ≠ -14
Współrzędne punktu B nie spełniają układu równań.
C = (1, 3)
6 ∙ 1 – 2 ∙ 3 = 6 – 6 = 0 ≠ -14
Współrzędne punktu C nie spełniają układu równań.
D = (-1, 4)
6 ∙ (-1) – 2 ∙ 4 = -6 – 8 = -14
2 ∙ (-1) + 3 ∙ 4 = -2 + 12 = 10
Współrzędne punktu D spełniają układ równań.
Odp. Współrzędne punktu D = (-1, 4) spełniają układ równań.
Na początku zadania musisz skorzystać z układu współrzędnych, aby odczytać współrzędne 4 punktów. Pierwsza współrzędna to x (w poziomie), druga to y (w pionie). Następnie musisz podstawiać pod x i y (w układzie równań) kolejne współrzędne. Najpierw musisz podstawić je do pierwszego równania i sprawdzić, czy równość jest dla nich prawdziwa, a następnie to samo z drugim równaniem.
Zadanie 1
84Zadanie 2
84Zadanie 4
84Zadanie 5
84Zadanie 8
85Zadanie 9
85Zadanie 10
85Zadanie 11
85Zadanie 12
85Zadanie 13
86Zadanie 14
86Zadanie 17
86Zadanie 1
87Zadanie 2
87Zadanie 3
87Zadanie 4
87Zadanie 5
87Zadanie 6
87Zadanie 7
88Zadanie 9
88Zadanie 14
89Zadanie 15
89Zadanie 16
89Zadanie 18
89Zadanie 19
89Zadanie 21
89Zadanie 1
90Zadanie 2
90Zadanie 3
90Zadanie 4
90Zadanie 5
90Zadanie 6
90Zadanie 7
90Zadanie 8
91Zadanie 9
91Zadanie 10
91Zadanie 11
91Zadanie 12
91Zadanie 13
91Zadanie 14
92Zadanie 16
92Zadanie 18
92Zadanie 21
92Zadanie 12
94Zadanie 5
97Zadanie 1
101Zadanie 6
101Zadanie 7
101Zadanie 10
102Zadanie 11
102Zadanie 12
102Zadanie 13
102