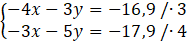
W tym zadaniu musisz skorzystać z reszty, którą otrzymano za kupno 4 serków i 3 jogurtów banknotem 20-złotowym oraz z reszty, którą otrzymano za kupno 3 serków i 5 jogurtów banknotem 20-złotowym, aby wyliczyć cenę serka i jogurtu.
x – cena serka w zł
y – cena jogurtu w zł
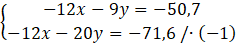
-12x – 9y + 12x + 20y = -50,7 + 71,6
11y = 20,9 /:11
y = 1,9
-3x – 5 ∙ 1,9 = -17,9
-3x – 9,5 = -17,9 /+9,5
-3x = -8,4 /:(-3)
x = 2,8
Odp. Jeden serek kosztował 2,80 zł, a jeden jogurt 1,90 zł.
Na początku musisz oznaczyć symbolami cenę serka i jogurtu. Następnie musisz zapisać pierwsze równanie, w którym różnica między 20 a kosztem 4 serków i 3 jogurtów wynosi 3,1. Drugim równaniem będzie to, że różnica między 20 a kosztem 3 serków i 5 jogurtów wynosi 2,1.
Zadanie 1
84Zadanie 2
84Zadanie 4
84Zadanie 5
84Zadanie 8
85Zadanie 9
85Zadanie 10
85Zadanie 11
85Zadanie 12
85Zadanie 13
86Zadanie 14
86Zadanie 17
86Zadanie 1
87Zadanie 2
87Zadanie 3
87Zadanie 4
87Zadanie 5
87Zadanie 6
87Zadanie 7
88Zadanie 9
88Zadanie 14
89Zadanie 15
89Zadanie 16
89Zadanie 18
89Zadanie 19
89Zadanie 21
89Zadanie 1
90Zadanie 2
90Zadanie 3
90Zadanie 4
90Zadanie 5
90Zadanie 6
90Zadanie 7
90Zadanie 8
91Zadanie 9
91Zadanie 10
91Zadanie 11
91Zadanie 12
91Zadanie 13
91Zadanie 14
92Zadanie 16
92Zadanie 18
92Zadanie 21
92Zadanie 12
94Zadanie 5
97Zadanie 1
101Zadanie 6
101Zadanie 7
101Zadanie 10
102Zadanie 11
102Zadanie 12
102Zadanie 13
102