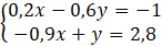
W tym zadaniu musisz podstawić pod niewiadome daną parę liczb
0,2x – 0,6y = 0,2 ∙ (-2) – 0,6 ∙ 1 = -0,4 – 0,6 = -1
-0,9x + y = -0,9 ∙ (-2) + 1 = 1,8 + 1 = 2,8
Odp. Układ równań jest spełniony przez tę parę liczb.
W tym zadaniu musisz podstawić pod x i y odpowiednio -2 i 1. Najpierw musisz podstawić je do pierwszego równania i sprawdzić, czy równość jest dla nich prawdziwa, a następnie to samo z drugim równaniem.
Zadanie 1
84Zadanie 2
84Zadanie 4
84Zadanie 5
84Zadanie 8
85Zadanie 9
85Zadanie 10
85Zadanie 11
85Zadanie 12
85Zadanie 13
86Zadanie 14
86Zadanie 17
86Zadanie 1
87Zadanie 2
87Zadanie 3
87Zadanie 4
87Zadanie 5
87Zadanie 6
87Zadanie 7
88Zadanie 9
88Zadanie 14
89Zadanie 15
89Zadanie 16
89Zadanie 18
89Zadanie 19
89Zadanie 21
89Zadanie 1
90Zadanie 2
90Zadanie 3
90Zadanie 4
90Zadanie 5
90Zadanie 6
90Zadanie 7
90Zadanie 8
91Zadanie 9
91Zadanie 10
91Zadanie 11
91Zadanie 12
91Zadanie 13
91Zadanie 14
92Zadanie 16
92Zadanie 18
92Zadanie 21
92Zadanie 12
94Zadanie 5
97Zadanie 1
101Zadanie 6
101Zadanie 7
101Zadanie 10
102Zadanie 11
102Zadanie 12
102Zadanie 13
102