W tym zadaniu musisz skorzystać z sumy cyfr liczby trzycyfrowej, zależności między tą liczbą a liczbą dwucyfrową uzyskaną przez usunięcie cyfry setek oraz z zależności między tą liczbą a liczbą dwucyfrową uzyskaną przez usunięcie cyfry jedności, aby odnaleźć szukaną liczbę.
x – cyfra setek
y – cyfra dziesiątek
z – cyfra jedności
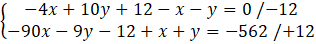
-40x + 72y – 801x – 72y = -96 – 4950
-841x = -5046 /:(-841)
x = 6
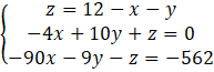
-5 ∙ 6 + 9y = -12
-30 + 9y = -12 /+30
9y = 18 /:9
y = 2
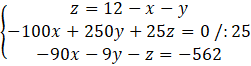
z = 12 – x – y = 12 – 6 – 2 = 4
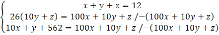
100x + 10y + z = 100 ∙ 6 + 10 ∙ 2 + 4 = 624
Odp. Ta liczba to 624.
W tym zadaniu musisz skorzystać z ogólnego wzoru na zapis liczby w systemie dziesiętnym (100x + 10y + z, gdzie x, y i z to odpowiednio cyfry setek, dziesiątek i jedności). Na początku musisz oznaczyć symbolami cyfrę setek, dziesiątek i jedności szukanej liczby. Następnie musisz zapisać pierwsze równanie, w którym suma cyfr wynosi 12. Drugim równaniem będzie to, że szukana liczba stanowi liczbę uzyskaną po usunięciu cyfry setek przemnożoną przez 26. W ostatnim równaniu musisz zapisać to, że liczba stanowi liczbę dwucyfrową uzyskaną przez usunięcie jedności powiększoną o 562. Na końcu musisz zapisać szukaną liczbę.
Zadanie 1
84Zadanie 2
84Zadanie 4
84Zadanie 5
84Zadanie 8
85Zadanie 9
85Zadanie 10
85Zadanie 11
85Zadanie 12
85Zadanie 13
86Zadanie 14
86Zadanie 17
86Zadanie 1
87Zadanie 2
87Zadanie 3
87Zadanie 4
87Zadanie 5
87Zadanie 6
87Zadanie 7
88Zadanie 9
88Zadanie 14
89Zadanie 15
89Zadanie 16
89Zadanie 18
89Zadanie 19
89Zadanie 21
89Zadanie 1
90Zadanie 2
90Zadanie 3
90Zadanie 4
90Zadanie 5
90Zadanie 6
90Zadanie 7
90Zadanie 8
91Zadanie 9
91Zadanie 10
91Zadanie 11
91Zadanie 12
91Zadanie 13
91Zadanie 14
92Zadanie 16
92Zadanie 18
92Zadanie 21
92Zadanie 12
94Zadanie 5
97Zadanie 1
101Zadanie 6
101Zadanie 7
101Zadanie 10
102Zadanie 11
102Zadanie 12
102Zadanie 13
102