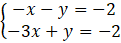
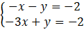
W tym zadaniu musisz zastanowić się dla jakiej pary liczb układ
Do pierwszego równania można dodać obustronnie -3x + y.
-x – y = -2 /+(-3x + y)
-4x = -2 -3x + y
Z drugiego równania wiadomo, że wartość -3x + y wynosi -2. Podstawiamy za to wyrażenie jego wartość.
-4x = -2 – 2
-4x = -4
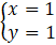
x = 1
-1 – y = -2 /+1
-y = -1 /*(-1)
y = 1
Odp.
W tym zadaniu musisz zauważyć, że po dodaniu obustronnie do pierwszego równania prawej strony drugiego równania, jedna z niewiadomych zniknie. Następnie musisz po prawej stronie równania zamienić wyrażenie na jego wartość (która jest zapisana w drugim równaniu) i wyliczyć z powstałego równania wartość x. Na końcu musisz podstawić tę wartość do dowolnego z równań i wyliczyć wartość drugiej niewiadomej.
Zadanie 1
84Zadanie 2
84Zadanie 4
84Zadanie 5
84Zadanie 8
85Zadanie 9
85Zadanie 10
85Zadanie 11
85Zadanie 12
85Zadanie 13
86Zadanie 14
86Zadanie 17
86Zadanie 1
87Zadanie 2
87Zadanie 3
87Zadanie 4
87Zadanie 5
87Zadanie 6
87Zadanie 7
88Zadanie 9
88Zadanie 14
89Zadanie 15
89Zadanie 16
89Zadanie 18
89Zadanie 19
89Zadanie 21
89Zadanie 1
90Zadanie 2
90Zadanie 3
90Zadanie 4
90Zadanie 5
90Zadanie 6
90Zadanie 7
90Zadanie 8
91Zadanie 9
91Zadanie 10
91Zadanie 11
91Zadanie 12
91Zadanie 13
91Zadanie 14
92Zadanie 16
92Zadanie 18
92Zadanie 21
92Zadanie 12
94Zadanie 5
97Zadanie 1
101Zadanie 6
101Zadanie 7
101Zadanie 10
102Zadanie 11
102Zadanie 12
102Zadanie 13
102