W tym zadaniu musisz skorzystać ze średniej wagi wszystkich akrobatów oprócz najcięższej i najcięższego oraz zależności między średnią wagą kobiet bez najcięższej z nich a średnią wagą mężczyzn bez najcięższego z nich, aby wyliczyć wagę najcięższej pani i pana.
x – waga najcięższej pani w kilogramach
y – waga najcięższego pana w kilogramach
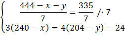
5 ∙ 48 = 240 – wspólna waga pań
4 ∙ 51 = 204 – wspólna waga panów
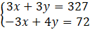
3x + 3y – 3x + 4y = 327 + 72
7y = 399 /:7
y = 57
-x – 57 = -109 /+57
-x = -52 /∙(-1)
x = 52
Odp. Najcięższa pani waży 52 kg, a najcięższy pan 57 kg.
Na początku musisz oznaczyć symbolami wagę najcięższej pani i najcięższego pana. Musisz również policzyć (korzystając z danych średnich) wspólną wagę wszystkich kobiet i wspólną wagę wszystkich mężczyzn. Następnie musisz zapisać pierwsze równanie, w którym średnia waga wszystkich akrobatów, oprócz najcięższej pani i pana, wynosi
Zadanie 1
84Zadanie 2
84Zadanie 4
84Zadanie 5
84Zadanie 8
85Zadanie 9
85Zadanie 10
85Zadanie 11
85Zadanie 12
85Zadanie 13
86Zadanie 14
86Zadanie 17
86Zadanie 1
87Zadanie 2
87Zadanie 3
87Zadanie 4
87Zadanie 5
87Zadanie 6
87Zadanie 7
88Zadanie 9
88Zadanie 14
89Zadanie 15
89Zadanie 16
89Zadanie 18
89Zadanie 19
89Zadanie 21
89Zadanie 1
90Zadanie 2
90Zadanie 3
90Zadanie 4
90Zadanie 5
90Zadanie 6
90Zadanie 7
90Zadanie 8
91Zadanie 9
91Zadanie 10
91Zadanie 11
91Zadanie 12
91Zadanie 13
91Zadanie 14
92Zadanie 16
92Zadanie 18
92Zadanie 21
92Zadanie 12
94Zadanie 5
97Zadanie 1
101Zadanie 6
101Zadanie 7
101Zadanie 10
102Zadanie 11
102Zadanie 12
102Zadanie 13
102