W tym zadaniu musisz skorzystać z całkowitej liczby kartek, kwoty, którą zapłacił Andrzej oraz ceny za kserowanie, aby wyliczyć kwotę, którą musiałby zapłacić Andrzej za kserowanie jednostronnie.
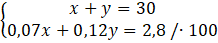
x – liczba kartek zapisanych jednostronnie
y – liczba kartek zapisanych dwustronnie
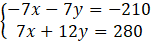
-7x – 7y + 7x + 12y = -210 + 280
5y = 70 /:5
y = 14
x + 14 = 30 /-14
x = 16
x + 2y – liczba wszystkich stron
x + 2y = 16 + 2 ∙ 14 = 16 + 28 = 44
44 ∙ 0,07 = 3,08
Odp. Gdyby każdą zapisaną stronę kserowano na osobnej kartce, pan Andrzej zapłaciły 3,08 zł.
Na początku musisz oznaczyć symbolami liczbę kartek zapisanych jednostronnie i dwustronnie. Następnie musisz zapisać pierwsze równanie, w którym suma wszystkich kartek wynosi 30. Drugim równaniem będzie to, że suma kwot skserowanych kartek jednostronnych i dwustronnych wynosi 2,8. Na końcu musisz policzyć wszystkie strony (musisz przemnożyć liczbę kartek dwustronnych przez 2 i dodać do nich liczbę kartek jednostronnych) i sumę przemnożyć przez cenę kserowania jednostronnego.
Zadanie 1
84Zadanie 2
84Zadanie 4
84Zadanie 5
84Zadanie 8
85Zadanie 9
85Zadanie 10
85Zadanie 11
85Zadanie 12
85Zadanie 13
86Zadanie 14
86Zadanie 17
86Zadanie 1
87Zadanie 2
87Zadanie 3
87Zadanie 4
87Zadanie 5
87Zadanie 6
87Zadanie 7
88Zadanie 9
88Zadanie 14
89Zadanie 15
89Zadanie 16
89Zadanie 18
89Zadanie 19
89Zadanie 21
89Zadanie 1
90Zadanie 2
90Zadanie 3
90Zadanie 4
90Zadanie 5
90Zadanie 6
90Zadanie 7
90Zadanie 8
91Zadanie 9
91Zadanie 10
91Zadanie 11
91Zadanie 12
91Zadanie 13
91Zadanie 14
92Zadanie 16
92Zadanie 18
92Zadanie 21
92Zadanie 12
94Zadanie 5
97Zadanie 1
101Zadanie 6
101Zadanie 7
101Zadanie 10
102Zadanie 11
102Zadanie 12
102Zadanie 13
102