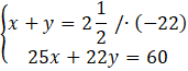
W tym zadaniu musisz skorzystać z sumy czasów spędzonych na obu odcinkach drogi i przerwie oraz z sumy długości odcinków drogi, aby wyliczyć ile trwała każda część podróży.
x – czas spędzony na pierwszej części podróży w godzinach
y – czas spędzony na pierwszej części podróży w godzinach
s = V ∙ t
-22x – 22y + 25x + 22y = -55 + 60
3x = 5 /:3
Odp. Pierwszy odcinek drogi zajął 1 h 40 min, a drugi 50 min.
Na początku musisz oznaczyć symbolami czasy spędzone na obu odcinkach drogi. Musisz również policzyć, ile czasu zajęła cała podróż. Następnie musisz zapisać pierwsze równanie, w którym suma czasów spędzonych na obu odcinkach drogi i przerwy jest równa czasowi całej podróży (
Zadanie 1
84Zadanie 2
84Zadanie 4
84Zadanie 5
84Zadanie 8
85Zadanie 9
85Zadanie 10
85Zadanie 11
85Zadanie 12
85Zadanie 13
86Zadanie 14
86Zadanie 17
86Zadanie 1
87Zadanie 2
87Zadanie 3
87Zadanie 4
87Zadanie 5
87Zadanie 6
87Zadanie 7
88Zadanie 9
88Zadanie 14
89Zadanie 15
89Zadanie 16
89Zadanie 18
89Zadanie 19
89Zadanie 21
89Zadanie 1
90Zadanie 2
90Zadanie 3
90Zadanie 4
90Zadanie 5
90Zadanie 6
90Zadanie 7
90Zadanie 8
91Zadanie 9
91Zadanie 10
91Zadanie 11
91Zadanie 12
91Zadanie 13
91Zadanie 14
92Zadanie 16
92Zadanie 18
92Zadanie 21
92Zadanie 12
94Zadanie 5
97Zadanie 1
101Zadanie 6
101Zadanie 7
101Zadanie 10
102Zadanie 11
102Zadanie 12
102Zadanie 13
102