W tym zadaniu musisz skorzystać z zysku ze sprzedaży kanapek oraz kosztu ich zrobienia, aby wyliczyć liczbę sprzedanych dużych i małych kanapek.
x – liczba małych kanapek
y – liczba dużych kanapek
290x + 406y – 290x – 345y = 14 268 – 13 170
61y = 1 098 /:61
y = 18
5x + 7 ∙ 18 = 246
5x + 126 = 246 /-126
5x = 120 /:5
x = 24
Odp. Sprzedano 18 dużych i 24 małych kanapek.
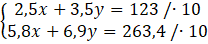
Na początku musisz oznaczyć symbolami liczbę sprzedanych małych i dużych kanapek. Następnie musisz zapisać pierwsze równanie, w którym koszt ich przygotowania wynosi 123. Drugim równaniem będzie to, że przychód z ich sprzedaży wynosi 263,4.
Zadanie 1
84Zadanie 2
84Zadanie 4
84Zadanie 5
84Zadanie 8
85Zadanie 9
85Zadanie 10
85Zadanie 11
85Zadanie 12
85Zadanie 13
86Zadanie 14
86Zadanie 17
86Zadanie 1
87Zadanie 2
87Zadanie 3
87Zadanie 4
87Zadanie 5
87Zadanie 6
87Zadanie 7
88Zadanie 9
88Zadanie 14
89Zadanie 15
89Zadanie 16
89Zadanie 18
89Zadanie 19
89Zadanie 21
89Zadanie 1
90Zadanie 2
90Zadanie 3
90Zadanie 4
90Zadanie 5
90Zadanie 6
90Zadanie 7
90Zadanie 8
91Zadanie 9
91Zadanie 10
91Zadanie 11
91Zadanie 12
91Zadanie 13
91Zadanie 14
92Zadanie 16
92Zadanie 18
92Zadanie 21
92Zadanie 12
94Zadanie 5
97Zadanie 1
101Zadanie 6
101Zadanie 7
101Zadanie 10
102Zadanie 11
102Zadanie 12
102Zadanie 13
102