W tym zadaniu musisz skorzystać z dwóch boków kwadratu, składających się z płytek ułożonych krótkim i długim bokiem, aby wyliczyć obwód jednej płytki.
x – krótszy bok płytki w cm
y – dłuższy bok płytki w cm
a2 = 324
a = 18
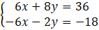
6x + 8y – 6x – 2y = 36 – 18
6y = 18 /:6
y = 3
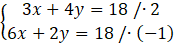
3x + 4 ∙ 3 = 18
3x + 12 = 18 /-12
3x = 6 /:3
x = 2
L = 2x + 2y = 2 ∙ 2 + 2 ∙ 3 = 4 + 6 = 10
Odp. Obwód pojedynczej płytki wynosi 10 cm.
Na początku musisz oznaczyć symbolami długość dłuższego oraz krótszego boku płytki. Musisz również skorzystać ze wzoru na pole kwadratu P = a2, aby obliczyć długość jego boku. Następnie musisz zapisać pierwsze równanie, w którym suma dłuższych i krótszych boków płytek składa się na długość dolnego, lewego lub górnego boku kwadratu. Drugim równaniem będzie to, że suma dłuższych i krótszych boków płytek składa się na długość prawego boku kwadratu. Na końcu musisz skorzystać ze wzoru na obwód prostokąta L = 2a + 2b.
Zadanie 1
84Zadanie 2
84Zadanie 4
84Zadanie 5
84Zadanie 8
85Zadanie 9
85Zadanie 10
85Zadanie 11
85Zadanie 12
85Zadanie 13
86Zadanie 14
86Zadanie 17
86Zadanie 1
87Zadanie 2
87Zadanie 3
87Zadanie 4
87Zadanie 5
87Zadanie 6
87Zadanie 7
88Zadanie 9
88Zadanie 14
89Zadanie 15
89Zadanie 16
89Zadanie 18
89Zadanie 19
89Zadanie 21
89Zadanie 1
90Zadanie 2
90Zadanie 3
90Zadanie 4
90Zadanie 5
90Zadanie 6
90Zadanie 7
90Zadanie 8
91Zadanie 9
91Zadanie 10
91Zadanie 11
91Zadanie 12
91Zadanie 13
91Zadanie 14
92Zadanie 16
92Zadanie 18
92Zadanie 21
92Zadanie 12
94Zadanie 5
97Zadanie 1
101Zadanie 6
101Zadanie 7
101Zadanie 10
102Zadanie 11
102Zadanie 12
102Zadanie 13
102