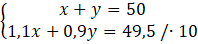
W tym zadaniu musisz skorzystać z kwoty, którą zapłacono wczoraj za akcesoria oraz kwoty, którą trzeba byłoby zapłacić za nie po zmianach ceny, aby wyliczyć wczorajsze ceny akcersoriów.
x – wczorajsza cena paska w zł
y – wczorajsza cena apaszki w zł
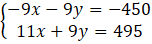
-9x – 9y + 11x + 9y = -450 + 495
2x = 45 /:2
x = 22,5
22,5 + y = 50 /-22,5
y = 27,5
Odp. Wczoraj pasek kosztował 22,50 zł, a apaszka 27,50 zł.
Na początku musisz oznaczyć symbolami wczorajsze ceny akcesoriów. Następnie musisz zapisać pierwsze równanie, w którym ich wspólny koszt wynosi 50. Drugim równaniem będzie to, że koszt 110% ceny paska i 90% ceny apaszki wynosi 49,5.
Zadanie 1
84Zadanie 2
84Zadanie 4
84Zadanie 5
84Zadanie 8
85Zadanie 9
85Zadanie 10
85Zadanie 11
85Zadanie 12
85Zadanie 13
86Zadanie 14
86Zadanie 17
86Zadanie 1
87Zadanie 2
87Zadanie 3
87Zadanie 4
87Zadanie 5
87Zadanie 6
87Zadanie 7
88Zadanie 9
88Zadanie 14
89Zadanie 15
89Zadanie 16
89Zadanie 18
89Zadanie 19
89Zadanie 21
89Zadanie 1
90Zadanie 2
90Zadanie 3
90Zadanie 4
90Zadanie 5
90Zadanie 6
90Zadanie 7
90Zadanie 8
91Zadanie 9
91Zadanie 10
91Zadanie 11
91Zadanie 12
91Zadanie 13
91Zadanie 14
92Zadanie 16
92Zadanie 18
92Zadanie 21
92Zadanie 12
94Zadanie 5
97Zadanie 1
101Zadanie 6
101Zadanie 7
101Zadanie 10
102Zadanie 11
102Zadanie 12
102Zadanie 13
102