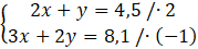
W tym zadaniu musisz skorzystać z kwot, które trzeba zapłacić za zakupu, aby wyznaczyć ceny bułka i serka. Na końcu musisz wybrać poprawne zdanie.
x – cena bułki w zł
y – cena serka w zł
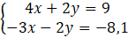
4x + 2y – 3x – 2y = 9 – 8,1
x = 0,9
2 ∙ 0,9 + y = 4,5
1,8 + y = 4,5 /-1,8
y = 2,7
Odp. D. bułka jest trzy razy tańsza od serka
Na początku musisz oznaczyć symbolami cenę bułki i serka. Następnie musisz zapisać pierwsze równanie, w którym cena dwóch bułek i serka wynosi 4,5. Drugim równaniem będzie to, że cena trzech bułek i dwóch serów wynosi 8,1.
Zadanie 1
84Zadanie 2
84Zadanie 4
84Zadanie 5
84Zadanie 8
85Zadanie 9
85Zadanie 10
85Zadanie 11
85Zadanie 12
85Zadanie 13
86Zadanie 14
86Zadanie 17
86Zadanie 1
87Zadanie 2
87Zadanie 3
87Zadanie 4
87Zadanie 5
87Zadanie 6
87Zadanie 7
88Zadanie 9
88Zadanie 14
89Zadanie 15
89Zadanie 16
89Zadanie 18
89Zadanie 19
89Zadanie 21
89Zadanie 1
90Zadanie 2
90Zadanie 3
90Zadanie 4
90Zadanie 5
90Zadanie 6
90Zadanie 7
90Zadanie 8
91Zadanie 9
91Zadanie 10
91Zadanie 11
91Zadanie 12
91Zadanie 13
91Zadanie 14
92Zadanie 16
92Zadanie 18
92Zadanie 21
92Zadanie 12
94Zadanie 5
97Zadanie 1
101Zadanie 6
101Zadanie 7
101Zadanie 10
102Zadanie 11
102Zadanie 12
102Zadanie 13
102