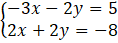
W tym zadaniu musisz znaleźć parę liczb x i y, dla których równania
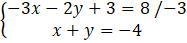
-3x – 2y + 2x + 2y = 5 – 8
-x = -3 /∙ (-1)
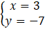
x = 3
3 + y + 4 = 0
y + 7 = 0 /-7
y = -7
Odp.
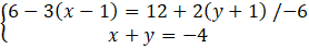
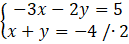
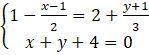
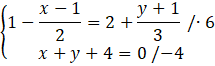
Na początku zadania musisz uprościć pierwsze równanie (mnożąc je przez najmniejszą wspólną wielokrotność mianowników) i w obu równaniach przestawić wszystkie niewiadome na lewą stronę, a liczby na prawą. W kolejnym kroku musisz przemnożyć równania tak, aby liczby stojące przy wybranej niewiadomej w obu równaniach były sobie przeciwne. Następnie musiszdodać oba równania do siebie stronami. Wybrane niewiadome zredukują się ze sobą. Musisz rozwiązać równanie z jedną niewiadomą. Po wyliczeniu wartości pozostałej niewiadomej musisz podstawić ją do dowolnego równania, a następnie rozwiązać to równanie, aby wyznaczyć wartość wybranej niewiadomej.
Zadanie 1
84Zadanie 2
84Zadanie 4
84Zadanie 5
84Zadanie 8
85Zadanie 9
85Zadanie 10
85Zadanie 11
85Zadanie 12
85Zadanie 13
86Zadanie 14
86Zadanie 17
86Zadanie 1
87Zadanie 2
87Zadanie 3
87Zadanie 4
87Zadanie 5
87Zadanie 6
87Zadanie 7
88Zadanie 9
88Zadanie 14
89Zadanie 15
89Zadanie 16
89Zadanie 18
89Zadanie 19
89Zadanie 21
89Zadanie 1
90Zadanie 2
90Zadanie 3
90Zadanie 4
90Zadanie 5
90Zadanie 6
90Zadanie 7
90Zadanie 8
91Zadanie 9
91Zadanie 10
91Zadanie 11
91Zadanie 12
91Zadanie 13
91Zadanie 14
92Zadanie 16
92Zadanie 18
92Zadanie 21
92Zadanie 12
94Zadanie 5
97Zadanie 1
101Zadanie 6
101Zadanie 7
101Zadanie 10
102Zadanie 11
102Zadanie 12
102Zadanie 13
102