W tym zadaniu musisz skorzystać z zależności między wiekiem rodziców 8 lat temu i teraz, aby wyliczyć wiek rodziców. Następnie musisz obliczyć za ile lat stosunek wieku matki do wieku ojca będzie równy 0,84.
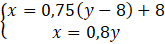
x – wiek matki
y – wiek ojca
0,8y = 0,75y – 6 + 8 /-0,75y
0,05y = 2 /∙20
y = 40
x = 0,8y = 0,8 ∙ 40 = 32
z – liczba lat
100 ∙ (32 + z) = 84 ∙ (40 + z) /:4
25 ∙ (z + 32) = 21 ∙ (z + 40)
25z + 800 = 21z + 840 /-21z
4z + 800 = 840 /-800
4z = 40 /:10
z = 10
Odp. Wiek matki będzie stanowił 84% wieku ojca za 10 lat.
Na początku musisz oznaczyć symbolami obecny wiek matki i ojca. Następnie musisz zapisać pierwsze równanie, w którym wiek matki pomniejszony o 8 stanowi 75% wieku ojca pomniejszonego o 8. Drugim równaniem będzie to, że wiek matki stanowi 80% wieku ojca. Po wyliczeniu ich wieków musisz rozwiązać równanie, gdzie iloraz wieku matki powiększonego o nieznaną liczbę lat i wieku ojca powiększonego o tę samą liczbę jest równy 0,84.
Zadanie 1
84Zadanie 2
84Zadanie 4
84Zadanie 5
84Zadanie 8
85Zadanie 9
85Zadanie 10
85Zadanie 11
85Zadanie 12
85Zadanie 13
86Zadanie 14
86Zadanie 17
86Zadanie 1
87Zadanie 2
87Zadanie 3
87Zadanie 4
87Zadanie 5
87Zadanie 6
87Zadanie 7
88Zadanie 9
88Zadanie 14
89Zadanie 15
89Zadanie 16
89Zadanie 18
89Zadanie 19
89Zadanie 21
89Zadanie 1
90Zadanie 2
90Zadanie 3
90Zadanie 4
90Zadanie 5
90Zadanie 6
90Zadanie 7
90Zadanie 8
91Zadanie 9
91Zadanie 10
91Zadanie 11
91Zadanie 12
91Zadanie 13
91Zadanie 14
92Zadanie 16
92Zadanie 18
92Zadanie 21
92Zadanie 12
94Zadanie 5
97Zadanie 1
101Zadanie 6
101Zadanie 7
101Zadanie 10
102Zadanie 11
102Zadanie 12
102Zadanie 13
102