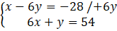
W tym zadaniu musisz rozwiązać układ równań
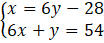
6(6y – 28) + y = 54
36y – 168 + y = 54 /+168
37y = 222 /:37
y = 6
x = 6y – 28 = 6 ∙ 6 – 28 = 36 – 28 = 8
A(8, 6)
O(0, 0) – początek układu współrzędnych
d2 = 82 + 62 = 64 + 36 = 100
Odp. Odległość punktu A od początku układu współrzędnych wynosi 10 jednostek.
Na początku zadania musisz rozwiązać układ równań. Najpierw musisz przekształcić którekolwiek z równań tak, aby po lewej stronie została sama niewiadoma. Następnie musisz podstawić pod tę niewiadomą w drugim równaniu wyznaczone wyrażenie na jej wartość. Z powstałego równania musisz wyznaczyć wartość pozostałej niewiadomej. W kolejnym kroku musisz podstawić obliczoną wartość pozostałej niewiadomej do wyznaczonego równania na pierwszą niewiadomą. Po otrzymaniu współrzędnych punktu powinieneś wykonać rysunek. Odległość między punktem a początkiem to przeciwprostokątna trójkąta prostokątnego. Musisz skorzystać z twierdzenia Pitagorasa, aby ją wyliczyć. Przyprostokątne mają długość taką jak współrzędne punktu.
Zadanie 1
84Zadanie 2
84Zadanie 4
84Zadanie 5
84Zadanie 8
85Zadanie 9
85Zadanie 10
85Zadanie 11
85Zadanie 12
85Zadanie 13
86Zadanie 14
86Zadanie 17
86Zadanie 1
87Zadanie 2
87Zadanie 3
87Zadanie 4
87Zadanie 5
87Zadanie 6
87Zadanie 7
88Zadanie 9
88Zadanie 14
89Zadanie 15
89Zadanie 16
89Zadanie 18
89Zadanie 19
89Zadanie 21
89Zadanie 1
90Zadanie 2
90Zadanie 3
90Zadanie 4
90Zadanie 5
90Zadanie 6
90Zadanie 7
90Zadanie 8
91Zadanie 9
91Zadanie 10
91Zadanie 11
91Zadanie 12
91Zadanie 13
91Zadanie 14
92Zadanie 16
92Zadanie 18
92Zadanie 21
92Zadanie 12
94Zadanie 5
97Zadanie 1
101Zadanie 6
101Zadanie 7
101Zadanie 10
102Zadanie 11
102Zadanie 12
102Zadanie 13
102