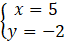
W tym zadaniu musisz znaleźć parę liczb x i y, dla których równania
-12x + 4y + 12x + 21y = -68 + 18
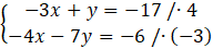
25y = -50 /:25
y = -2
-3x – 2 = -17 /+2
-3x = -15 /:(-3)
x = 5
Odp.
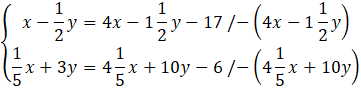
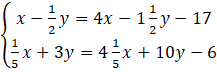
Na początku zadania musisz uprościć oba równania, przenieść wszystkie niewiadome na lewą stronę, a liczby na prawą i doprowadzić do przeciwnych współczynników przy wybranej niewiadomej. Następnie musiszdodać oba równania do siebie stronami. Po uproszczeniu równania musisz rozwiązać równanie z jedną niewiadomą. Po wyliczeniu wartości tej niewiadomej musisz podstawić jej wartość do jednego z równań, aby obliczyć wartość pozostałej niewiadomej.
Zadanie 1
84Zadanie 2
84Zadanie 4
84Zadanie 5
84Zadanie 8
85Zadanie 9
85Zadanie 10
85Zadanie 11
85Zadanie 12
85Zadanie 13
86Zadanie 14
86Zadanie 17
86Zadanie 1
87Zadanie 2
87Zadanie 3
87Zadanie 4
87Zadanie 5
87Zadanie 6
87Zadanie 7
88Zadanie 9
88Zadanie 14
89Zadanie 15
89Zadanie 16
89Zadanie 18
89Zadanie 19
89Zadanie 21
89Zadanie 1
90Zadanie 2
90Zadanie 3
90Zadanie 4
90Zadanie 5
90Zadanie 6
90Zadanie 7
90Zadanie 8
91Zadanie 9
91Zadanie 10
91Zadanie 11
91Zadanie 12
91Zadanie 13
91Zadanie 14
92Zadanie 16
92Zadanie 18
92Zadanie 21
92Zadanie 12
94Zadanie 5
97Zadanie 1
101Zadanie 6
101Zadanie 7
101Zadanie 10
102Zadanie 11
102Zadanie 12
102Zadanie 13
102