W tym zadaniu musisz znaleźć parę liczb x i y, dla których równania
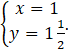
x + 1 = 2 /-1
x = 1
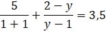
2 – y = y – 1 /-y
2 – 2y = -1 /-2
-2y = -3 /:(-2)
Odp.
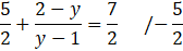
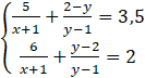
Na początku zadania musisz dodać do siebie równania. Ułamki z niewiadomą y to liczby przeciwne. Po zredukowaniu tych ułamków musisz przyrównać do siebie ułamki liczb po lewej i prawej stronie równania, aby wyliczyć wartość x. Następnie musisz podstawić ją do dowolnego równania z układu. Po uproszczeniu równania musisz przemnożyć je przez mianownik ułamka z y i wyznaczyć z powstałego równania wartość tej niewiadomej.
Zadanie 1
84Zadanie 2
84Zadanie 4
84Zadanie 5
84Zadanie 8
85Zadanie 9
85Zadanie 10
85Zadanie 11
85Zadanie 12
85Zadanie 13
86Zadanie 14
86Zadanie 17
86Zadanie 1
87Zadanie 2
87Zadanie 3
87Zadanie 4
87Zadanie 5
87Zadanie 6
87Zadanie 7
88Zadanie 9
88Zadanie 14
89Zadanie 15
89Zadanie 16
89Zadanie 18
89Zadanie 19
89Zadanie 21
89Zadanie 1
90Zadanie 2
90Zadanie 3
90Zadanie 4
90Zadanie 5
90Zadanie 6
90Zadanie 7
90Zadanie 8
91Zadanie 9
91Zadanie 10
91Zadanie 11
91Zadanie 12
91Zadanie 13
91Zadanie 14
92Zadanie 16
92Zadanie 18
92Zadanie 21
92Zadanie 12
94Zadanie 5
97Zadanie 1
101Zadanie 6
101Zadanie 7
101Zadanie 10
102Zadanie 11
102Zadanie 12
102Zadanie 13
102