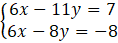
Wyznacz rozwiązania układu
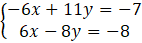
-6x + 11y + 6x – 8y = -7 – 8
3y = -15 /:3
y = -5
6x – 8 ∙ (-5) = -8
6x + 40 = -8 /-40
6x = -48 /:6
x = -8
Odp.
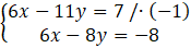
Na początku tego zadania musisz przemnożyć jedno z równań przez -1, aby liczby stojące przy niewiadomej x w obu równaniach były sobie przeciwne. Następnie musisz dodać oba równania do siebie stronami. Niewiadome x zredukują się ze sobą. Musisz rozwiązać równanie z jedną niewiadomą. Po wyliczeniu wartości y musisz podstawić ją do dowolnego równania, a następnie rozwiązać to równanie, aby wyznaczyć wartość x.
Zadanie 1
84Zadanie 2
84Zadanie 4
84Zadanie 5
84Zadanie 8
85Zadanie 9
85Zadanie 10
85Zadanie 11
85Zadanie 12
85Zadanie 13
86Zadanie 14
86Zadanie 17
86Zadanie 1
87Zadanie 2
87Zadanie 3
87Zadanie 4
87Zadanie 5
87Zadanie 6
87Zadanie 7
88Zadanie 9
88Zadanie 14
89Zadanie 15
89Zadanie 16
89Zadanie 18
89Zadanie 19
89Zadanie 21
89Zadanie 1
90Zadanie 2
90Zadanie 3
90Zadanie 4
90Zadanie 5
90Zadanie 6
90Zadanie 7
90Zadanie 8
91Zadanie 9
91Zadanie 10
91Zadanie 11
91Zadanie 12
91Zadanie 13
91Zadanie 14
92Zadanie 16
92Zadanie 18
92Zadanie 21
92Zadanie 12
94Zadanie 5
97Zadanie 1
101Zadanie 6
101Zadanie 7
101Zadanie 10
102Zadanie 11
102Zadanie 12
102Zadanie 13
102