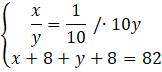
W tym zadaniu musisz skorzystać ze stosunku wieków wnuczka i dziadka oraz sumy ich lat za 8 lat, aby wyliczyć wiek wnuczka. Na końcu musisz policzyć wiek wnuczka za 13 lat.
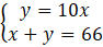
x – wiek wnuczka
y – wiek dziadka
x + 10x = 66
11x = 66 /:11
x = 6
x + 13 = 6 + 13 = 19
Odp. Za trzynaście lat wnuczek będzie miał 19 lat.
Na początku musisz oznaczyć symbolami wiek wnuczka i dziadka. Następnie musisz zapisać pierwsze równanie, w którym iloraz wieku wnuczka do wieku dziadka jest równy
Zadanie 1
84Zadanie 2
84Zadanie 4
84Zadanie 5
84Zadanie 8
85Zadanie 9
85Zadanie 10
85Zadanie 11
85Zadanie 12
85Zadanie 13
86Zadanie 14
86Zadanie 17
86Zadanie 1
87Zadanie 2
87Zadanie 3
87Zadanie 4
87Zadanie 5
87Zadanie 6
87Zadanie 7
88Zadanie 9
88Zadanie 14
89Zadanie 15
89Zadanie 16
89Zadanie 18
89Zadanie 19
89Zadanie 21
89Zadanie 1
90Zadanie 2
90Zadanie 3
90Zadanie 4
90Zadanie 5
90Zadanie 6
90Zadanie 7
90Zadanie 8
91Zadanie 9
91Zadanie 10
91Zadanie 11
91Zadanie 12
91Zadanie 13
91Zadanie 14
92Zadanie 16
92Zadanie 18
92Zadanie 21
92Zadanie 12
94Zadanie 5
97Zadanie 1
101Zadanie 6
101Zadanie 7
101Zadanie 10
102Zadanie 11
102Zadanie 12
102Zadanie 13
102