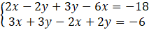
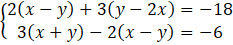
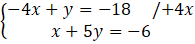
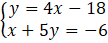
W tym zadaniu musisz podstawić parę liczb do układów równań i sprawdzić, dla którego nie są rozwiązaniem. Następnie, musisz znaleźć parę liczb x i y, dla których oba równania tego układu są spełnione.
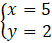
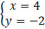
Para liczb
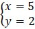
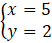
Para liczb
x + 5(4x – 18) = -6
x + 20x – 90 = -6 /+90
21x = 84 /:21
x = 4
y = 4x – 18 = 4 ∙ 4 – 18 = 16 – 18 = -2
Odp.
Na początku tego zadania musisz po kolei podstawiać parę liczb
Zadanie 1
84Zadanie 2
84Zadanie 4
84Zadanie 5
84Zadanie 8
85Zadanie 9
85Zadanie 10
85Zadanie 11
85Zadanie 12
85Zadanie 13
86Zadanie 14
86Zadanie 17
86Zadanie 1
87Zadanie 2
87Zadanie 3
87Zadanie 4
87Zadanie 5
87Zadanie 6
87Zadanie 7
88Zadanie 9
88Zadanie 14
89Zadanie 15
89Zadanie 16
89Zadanie 18
89Zadanie 19
89Zadanie 21
89Zadanie 1
90Zadanie 2
90Zadanie 3
90Zadanie 4
90Zadanie 5
90Zadanie 6
90Zadanie 7
90Zadanie 8
91Zadanie 9
91Zadanie 10
91Zadanie 11
91Zadanie 12
91Zadanie 13
91Zadanie 14
92Zadanie 16
92Zadanie 18
92Zadanie 21
92Zadanie 12
94Zadanie 5
97Zadanie 1
101Zadanie 6
101Zadanie 7
101Zadanie 10
102Zadanie 11
102Zadanie 12
102Zadanie 13
102