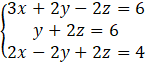
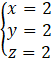
W tym zadaniu musisz znaleźć trójkę liczb x, y, z, dla których wszystkie równania
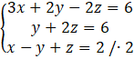
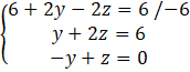
Dodajemy pierwsze i trzecie równanie do siebie
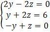
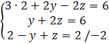
Dodajemy pierwsze i drugie równanie do siebie
2y – 2z + y + 2z = 0 + 6
3y = 6 /:3
y = 2
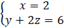
-2 + z = 0 /+2
x = 2
Odp.
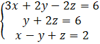
Na początku zadania powinieneś przemnożyć ostatnie równanie przez 2. Następnie powinieneś dodać pierwsze i trzecie równanie stronami. Po uproszczeniu powstałego równania musisz wyliczyć z niego wartość x. Aby obliczyć wartość y musisz podstawić wartość x do równań i po przeniesieniu liczb na prawą stronę musisz dodać stronami pierwsze i drugie równanie. Musisz z powstałego równania wyznaczyć wartość y. Na końcu musisz podstawić wyliczone wartości do dowolnego równania i wyznaczyć z niego wartość z.
Zadanie 1
84Zadanie 2
84Zadanie 4
84Zadanie 5
84Zadanie 8
85Zadanie 9
85Zadanie 10
85Zadanie 11
85Zadanie 12
85Zadanie 13
86Zadanie 14
86Zadanie 17
86Zadanie 1
87Zadanie 2
87Zadanie 3
87Zadanie 4
87Zadanie 5
87Zadanie 6
87Zadanie 7
88Zadanie 9
88Zadanie 14
89Zadanie 15
89Zadanie 16
89Zadanie 18
89Zadanie 19
89Zadanie 21
89Zadanie 1
90Zadanie 2
90Zadanie 3
90Zadanie 4
90Zadanie 5
90Zadanie 6
90Zadanie 7
90Zadanie 8
91Zadanie 9
91Zadanie 10
91Zadanie 11
91Zadanie 12
91Zadanie 13
91Zadanie 14
92Zadanie 16
92Zadanie 18
92Zadanie 21
92Zadanie 12
94Zadanie 5
97Zadanie 1
101Zadanie 6
101Zadanie 7
101Zadanie 10
102Zadanie 11
102Zadanie 12
102Zadanie 13
102