W tym zadaniu musisz skorzystać z sumy osób w obu klasach oraz sumy dziewczyn w obu klasach, aby wyliczyć liczbę chłopców w obu klasach.
x – liczba osób w 1A
y – liczba osób w 1B
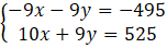
-9x - 9y + 10x + 9x = -495 + 525
x = 30
30 + y = 55 /-30
y = 25
Odp. W obu klasach jest po 10 chłopców.
Na początku musisz oznaczyć symbolami liczbę osób w obu klasach. Musisz również liczbę dziewczyn i chłopców w obu klasach. Następnie musisz zapisać pierwsze równanie, w którym liczba osób w obu klasach wynosi 55. Drugim równaniem będzie to, że liczba dziewczyn w obu klasach wynosi 35. Na końcu musisz obliczyć liczbę chłopców w klasie 1A i 1B.
Zadanie 1
84Zadanie 2
84Zadanie 4
84Zadanie 5
84Zadanie 8
85Zadanie 9
85Zadanie 10
85Zadanie 11
85Zadanie 12
85Zadanie 13
86Zadanie 14
86Zadanie 17
86Zadanie 1
87Zadanie 2
87Zadanie 3
87Zadanie 4
87Zadanie 5
87Zadanie 6
87Zadanie 7
88Zadanie 9
88Zadanie 14
89Zadanie 15
89Zadanie 16
89Zadanie 18
89Zadanie 19
89Zadanie 21
89Zadanie 1
90Zadanie 2
90Zadanie 3
90Zadanie 4
90Zadanie 5
90Zadanie 6
90Zadanie 7
90Zadanie 8
91Zadanie 9
91Zadanie 10
91Zadanie 11
91Zadanie 12
91Zadanie 13
91Zadanie 14
92Zadanie 16
92Zadanie 18
92Zadanie 21
92Zadanie 12
94Zadanie 5
97Zadanie 1
101Zadanie 6
101Zadanie 7
101Zadanie 10
102Zadanie 11
102Zadanie 12
102Zadanie 13
102