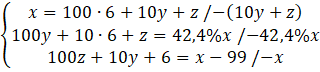
W tym zadaniu musisz skorzystać z cyfr składających się na liczbę x, zależności między liczbą powstałą po zamianie cyfry setek i dziesiątek a tą liczbą oraz zależności między liczbą powstałą po zamianie cyfry setek i jedności a tą liczbą, aby wyliczyć liczbę x.
x – szukana liczba
y – cyfra dziesiątek
z – cyfra jedności
Dodajemy pierwsze i trzecie równanie do siebie
x – 10y – z – x + 10y + 100z = 600 - 105
99z = 495 /:99
z = 5
-0,424(10y + 605) + 100y = -65
-4,24y – 256,52 + 100y = -65 /+256,52
95,76y = 191,52 /:95,76
y = 2
x = 10y + 605 = 10 ∙ 2 + 605 = 20 + 605 = 625
Odp. Liczba x to 625.
W tym zadaniu musisz skorzystać z ogólnego wzoru na zapis liczby w systemie dziesiętnym (
Zadanie 1
84Zadanie 2
84Zadanie 4
84Zadanie 5
84Zadanie 8
85Zadanie 9
85Zadanie 10
85Zadanie 11
85Zadanie 12
85Zadanie 13
86Zadanie 14
86Zadanie 17
86Zadanie 1
87Zadanie 2
87Zadanie 3
87Zadanie 4
87Zadanie 5
87Zadanie 6
87Zadanie 7
88Zadanie 9
88Zadanie 14
89Zadanie 15
89Zadanie 16
89Zadanie 18
89Zadanie 19
89Zadanie 21
89Zadanie 1
90Zadanie 2
90Zadanie 3
90Zadanie 4
90Zadanie 5
90Zadanie 6
90Zadanie 7
90Zadanie 8
91Zadanie 9
91Zadanie 10
91Zadanie 11
91Zadanie 12
91Zadanie 13
91Zadanie 14
92Zadanie 16
92Zadanie 18
92Zadanie 21
92Zadanie 12
94Zadanie 5
97Zadanie 1
101Zadanie 6
101Zadanie 7
101Zadanie 10
102Zadanie 11
102Zadanie 12
102Zadanie 13
102