W tym zadaniu musisz skorzystać z początkowego obwodu kartki oraz z wyniku różnicy między początkową kartką, a wyciętym prostokątem, aby wyliczyć pole początkowej prostokątnej kartki.
x – dłuższy bok kartki w cm
y – krótszy bok kartki w cm
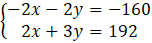
-2x – 2y + 2x + 3y = -160 + 192
y = 32
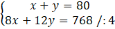
x + 32 = 80 /-32
x = 48
P = xy = 48 ∙ 32 = 1 536
Odp. Początkowo kartka miała powierzchnię 1 536 cm2.
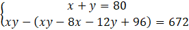
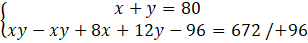
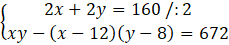
Na początku musisz oznaczyć symbolami dłuższy i krótszy bok kartki. Następnie musisz zapisać pierwsze równanie, w którym obwód kartki (L = 2a + 2b) wynosi 160. Drugim równaniem będzie to, że pole początkowej kartki (P = ab) pomniejszone o pole wyciętego prostokąta jest równe w 672. Na końcu musisz przemnożyć rozwiązania przez siebie, aby uzyskać pole kartki.
Zadanie 1
84Zadanie 2
84Zadanie 4
84Zadanie 5
84Zadanie 8
85Zadanie 9
85Zadanie 10
85Zadanie 11
85Zadanie 12
85Zadanie 13
86Zadanie 14
86Zadanie 17
86Zadanie 1
87Zadanie 2
87Zadanie 3
87Zadanie 4
87Zadanie 5
87Zadanie 6
87Zadanie 7
88Zadanie 9
88Zadanie 14
89Zadanie 15
89Zadanie 16
89Zadanie 18
89Zadanie 19
89Zadanie 21
89Zadanie 1
90Zadanie 2
90Zadanie 3
90Zadanie 4
90Zadanie 5
90Zadanie 6
90Zadanie 7
90Zadanie 8
91Zadanie 9
91Zadanie 10
91Zadanie 11
91Zadanie 12
91Zadanie 13
91Zadanie 14
92Zadanie 16
92Zadanie 18
92Zadanie 21
92Zadanie 12
94Zadanie 5
97Zadanie 1
101Zadanie 6
101Zadanie 7
101Zadanie 10
102Zadanie 11
102Zadanie 12
102Zadanie 13
102