W tym zadaniu musisz skorzystać z zależności między liczbą pociągów we wtorek oraz w środę, aby wyliczyć liczbę pociągów w taborze.
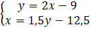
x – liczba pociągów osobowych w taborze
y – liczba pociągów pospiesznych w taborze
y = 2(1,5y – 12,5) – 9
y = 3y – 25 – 9 /-3y
-2y = -34 /:(-2)
y = 17
x = 1,5y – 12,5 = 1,5 ∙ 17 – 12,5 = 25,5 – 12,5 = 13
x + y = 13 + 17 = 30
Odp. Tabor liczy 30 pociągów.
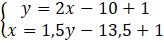
Na początku musisz oznaczyć symbolami liczbę pociągów osobowych i pospiesznych. Następnie musisz zapisać pierwsze równanie, w którym liczba pociągów pospiesznych pomniejszona o 1 stanowi pięciokrotność liczby pociągów osobowych pomniejszonej o 5. Drugim równaniem będzie to, że liczba pociągów osobowych pomniejszona o 1 stanowi liczbę pociągów pospiesznych pomniejszonej o 9 i przemnożoną przez 1,5. Na końcu musisz dodać do siebie rozwiązania.
Zadanie 1
84Zadanie 2
84Zadanie 4
84Zadanie 5
84Zadanie 8
85Zadanie 9
85Zadanie 10
85Zadanie 11
85Zadanie 12
85Zadanie 13
86Zadanie 14
86Zadanie 17
86Zadanie 1
87Zadanie 2
87Zadanie 3
87Zadanie 4
87Zadanie 5
87Zadanie 6
87Zadanie 7
88Zadanie 9
88Zadanie 14
89Zadanie 15
89Zadanie 16
89Zadanie 18
89Zadanie 19
89Zadanie 21
89Zadanie 1
90Zadanie 2
90Zadanie 3
90Zadanie 4
90Zadanie 5
90Zadanie 6
90Zadanie 7
90Zadanie 8
91Zadanie 9
91Zadanie 10
91Zadanie 11
91Zadanie 12
91Zadanie 13
91Zadanie 14
92Zadanie 16
92Zadanie 18
92Zadanie 21
92Zadanie 12
94Zadanie 5
97Zadanie 1
101Zadanie 6
101Zadanie 7
101Zadanie 10
102Zadanie 11
102Zadanie 12
102Zadanie 13
102