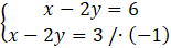
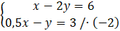
W tym zadaniu musisz wybrać dwa równania spośród I. x – 2y = 6 II. 0,5x – y = 3 III. x – 2y = 3 IV. x – y = 3 tak, aby powstał z nich układ równań, który ma dokładnie jedno rozwiązanie.
x – 2y – x + 2y = 6 – 6
0 = 0
Układ nieoznaczony
x – 2y – x + 2y = 6 – 3
0 = 3
Układ sprzeczny
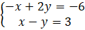
-x + 2y + x – y = -6 + 3
y = -3
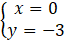
x – (-3) = 3
x + 3 = 3 /-3
x = 0
Układ oznaczony
Odp.
W tym zadaniu musisz tworzyć po kolei układy równań, dopóki nie powstanie układ oznaczony. Musisz wybrać pierwsze równanie, a potem dobierać kolejne równania. Na początku rozwiązywania układu musisz przemnożyć któreś równanie przez pewną liczbę tak, aby liczby stojące przy tej samej wybranej niewiadomej w obu równaniach były sobie przeciwne. Następnie musiszdodać oba równania do siebie stronami. Jeśli po uproszczeniu równania pozostanie w nim jedna niewiadoma to układ jest oznaczony (ma dokładnie jedno rozwiązani). Jeśli po uproszczeniu niewiadome i liczby zredukują się ze sobą, a lewa strona równania jest taka sama jak prawa to układ jest nieoznaczony (ma nieskończenie wiele rozwiązań). Jeśli po uproszczeniu niewiadome i liczby zredukują się ze sobą, a obie strony równania są różne to układ jest sprzeczny (nie ma rozwiązania).
Zadanie 1
84Zadanie 2
84Zadanie 4
84Zadanie 5
84Zadanie 8
85Zadanie 9
85Zadanie 10
85Zadanie 11
85Zadanie 12
85Zadanie 13
86Zadanie 14
86Zadanie 17
86Zadanie 1
87Zadanie 2
87Zadanie 3
87Zadanie 4
87Zadanie 5
87Zadanie 6
87Zadanie 7
88Zadanie 9
88Zadanie 14
89Zadanie 15
89Zadanie 16
89Zadanie 18
89Zadanie 19
89Zadanie 21
89Zadanie 1
90Zadanie 2
90Zadanie 3
90Zadanie 4
90Zadanie 5
90Zadanie 6
90Zadanie 7
90Zadanie 8
91Zadanie 9
91Zadanie 10
91Zadanie 11
91Zadanie 12
91Zadanie 13
91Zadanie 14
92Zadanie 16
92Zadanie 18
92Zadanie 21
92Zadanie 12
94Zadanie 5
97Zadanie 1
101Zadanie 6
101Zadanie 7
101Zadanie 10
102Zadanie 11
102Zadanie 12
102Zadanie 13
102