W tym zadaniu musisz skorzystać z zysku z biletów normalnych i ulgowych w środę oraz z zysku z biletów normalnych i ulgowych w sobotę, aby wyliczyć cenę biletu normalnego i ulgowego.
x – cena biletu normalnego w zł
y – cena biletu ulgowego w zł
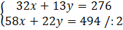
-352x – 143y + 377x + 143y = -3036 + 3211
25x = 175 /:25
x = 7
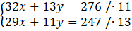
29 ∙ 7 + 11y = 247
203 + 11y = 247 /-203
11y = 44 /:11
x = 4
Odp. Na tę wystawę bilet ulgowy kosztował 4 zł, a bilet normalny 7 zł.
Na początku musisz oznaczyć symbolami cenę biletu normalnego i ulgowego. Następnie musisz zapisać pierwsze równanie, w którym suma dochodów z biletów normalnych i ulgowych w środę wynosi 1380. Drugim równaniem będzie to, że suma dochodów z biletów normalnych i ulgowych w sobotę wynosi 1976.
Zadanie 1
84Zadanie 2
84Zadanie 4
84Zadanie 5
84Zadanie 8
85Zadanie 9
85Zadanie 10
85Zadanie 11
85Zadanie 12
85Zadanie 13
86Zadanie 14
86Zadanie 17
86Zadanie 1
87Zadanie 2
87Zadanie 3
87Zadanie 4
87Zadanie 5
87Zadanie 6
87Zadanie 7
88Zadanie 9
88Zadanie 14
89Zadanie 15
89Zadanie 16
89Zadanie 18
89Zadanie 19
89Zadanie 21
89Zadanie 1
90Zadanie 2
90Zadanie 3
90Zadanie 4
90Zadanie 5
90Zadanie 6
90Zadanie 7
90Zadanie 8
91Zadanie 9
91Zadanie 10
91Zadanie 11
91Zadanie 12
91Zadanie 13
91Zadanie 14
92Zadanie 16
92Zadanie 18
92Zadanie 21
92Zadanie 12
94Zadanie 5
97Zadanie 1
101Zadanie 6
101Zadanie 7
101Zadanie 10
102Zadanie 11
102Zadanie 12
102Zadanie 13
102