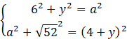
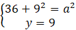
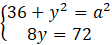
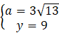
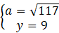
Korzystając z twierdzenia Pitagorasa:
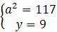
Układam układ równań:
Długość boku
Wyznacz długość odcinka x, stosując twierdzenie Pitagorasa. Następnie rozwiąż układ równań z dwoma równaniami, które opisują długościami odcinków a i y. Podaj długość boku AB.