Korzystając z twierdzenia cosinusów, obliczam a:
Korzystając z twierdzenia cosinusów, obliczam b:
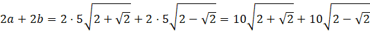
Obwód prostokąta jest równy:
Oblicz długości boków korzystając z twierdzenia cosinusów. Mając obliczone długości boków, zsumuj wszystkie i podaj długość obwodu tego prostokąta.