Dłuższa podstawa ma długość 20 cm, a więc:
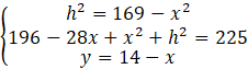
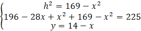
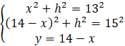
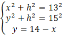
Korzystając z twierdzenia Pitagorasa, układam układ równań:
Wysokość jest równa 12 cm.
Rozwiąż układ równań z trzema równaniami, które opisują zależności między długościami boków x, y i h. Pierwsze i drugie równanie wynika z twierdzenia Pitagorasa, natomiast trzecie z rysunku, który jest narysowany zgodnie z treścią zadania.