Kąty CAB i DCA są naprzemianległe.
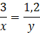
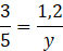
Obliczam x:
Trójkąty SFC i AES są podobne na mocy cechy kkk (kąt – kąt – kąt), zatem zachodzi proporcja:
Długość przekątnej to:
Narysuj rysunek, oblicz długość boku x stosując twierdzenie Pitagorasa. Następnie zauważ, że trójkąty SFC i AES są podobne na mocy cechy kkk, zatem zachodzi równość