Trójkąty ADS i EPH są trójkątami równoramiennymi i kąt między ramionami tych trójkątów jest równy
Trójkąty ABS i EPF są trójkątami równoramiennymi i kąt między ramionami tych trójkątów jest równy
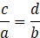
Z obu równań otrzymuję równość:
Co oznacza, że prostokąty ABCD i EFGH są podobne.
Zauważ, że trójkąty ADS i EPH są trójkątami równoramiennymi i kąt między ramionami tych trójkątów jest równy
Oraz trójkąty ABS i EPF są trójkątami równoramiennymi i kąt między ramionami tych trójkątów jest równy