W tym zadaniu musisz podać skalę podobieństwa figury do figury oraz skalę podobieństwa figury do figury , korzystając z danych na rysunku.
Figura do figury jest podobna w skali .
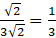
Odczytaj z rysunku długości poszczególnych odcinków i zbadaj skalę podobieństwa.
Zadanie 1.
Zadanie 2.
Zadanie 3.
Podpunkt a)
Podpunkt b)
Zadanie 4.
Zadanie 5.
Zadanie 6.
Zadanie 7.
Zadanie 8.
Zadanie 9.
Zadanie 10.
Podpunkt c)
Zadanie 11.
Zadanie 12.
Zadanie 13.
Zadanie 14.
Zadanie 15.
Zadanie 16.
Zadanie 17.
Zadanie 18.
Podpunkt d)