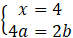
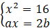
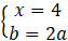
Trójkąty DSC i BSC są podobne na mocy cechy kkk. Zatem:
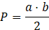
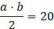
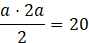
Korzystając ze wzoru na pole trójkąta BCD obliczam a i b:
Obwód prostokąta jest równy:
Poprawną odpowiedzią jest odp. D.
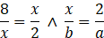
Zauważ, że trójkąty DSC i BSC są podobne na mocy cechy kkk. Rozwiąż układ równań, z dwoma równaniami, które opisują proporcje odpowiadających sobie boków w tych trójkątach. Następnie oblicz pole trójkąta BCD i wyznacz to pole za pomocą boków a i b. Oblicz długości tych boków przyrównując do siebie pola.