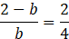
Obliczam a, korzystając z tego, że trójkąty ABC i CEF są podobne na mocy cechy kkk:
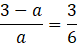
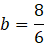
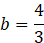
Obliczam b, korzystając z tego, że trójkąty DBE i IHE są podobne na mocy cechy kkk:
Skala podobieństwa między kwadratami DGHI i ADEF to:
Narysuj rysunek i nanieś na niego dane. Zauważ, że trójkąty ABC i CEF są podobne. Korzystając z równości stosunków boków w tych trójkątach oblicz długość boku a. Dalej zauważ, że trójkąty DBE i IHE również są podobne na mocy cechy kkk. Oblicz długość boku b korzystając ze stosunku długości boków w tych trójkątach. Oblicz skalę podobieństwa trójkątów DGHI i ADEF podstawiając długości odpowiadających sobie boków.