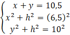
W tym zadaniu musisz obliczyć wysokość trapezu, wiedząc, że podstawy mają długości 13 i 2,5, a ramiona 10 i 6,5.
Rozwiązanie
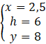
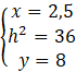
Wysokość trapezu jest równa 6.
Wyjaśnienie
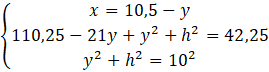
Rozwiąż układ równań z trzema równaniami, w których jest zawarta zależność między odcinkami x, y i h. Rozwiąż ten układ równań i podaj wysokość trapezu.