W tym zadaniu musisz obliczyć obwód kwadratu, wiedząc, że przekątna jest o 1 dłuższa od boku.
Rozwiązanie
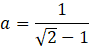
Obwód kwadratu jest równy:
Wyjaśnienie
Zapisz zależność między bokiem a przekątną kwadratu i rozwiąż równanie . Wyznacz długość boku a, a następnie sumując cztery boki oblicz obwód tego kwadratu.