Obliczam x + y korzystając z twierdzenia Pitagorasa:
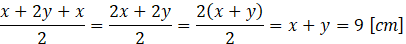
Odcinek łączący środki ramion trapezu ma długość:
Poprawną odpowiedzią jest odp. B.
Najpierw stosując twierdzenia Pitagorasa oblicz długość odcinka x + y, następnie zapisz wzór na długość odcinka łączącego środki ramion trapezu i skorzystaj z obliczonej wcześniej wartości.