Założenia:
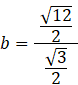
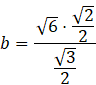
Obliczam b, korzystając z twierdzenia sinusów:
Obliczam a, korzystając z twierdzenia cosinusów:
Obwód zamalowanej figury jest równy:
Narysuj rysunek z oznaczeniami jak w rozwiązaniu. Oblicz długość boku oznaczonego literą b korzystając z twierdzenia sinusów, otrzymasz równanie, którego rozwiązaniem jest