W tym zadaniu musisz obliczyć stosunek wiedząc, że równoległobok AKLD jest podobny do równoległoboku ABCD oraz że w równoległoboku ABCD bok AB jest 2 razy dłuższy od boku AD, punkt K należy do boku AB, a punkt L należy do boku DC.
Rozwiązanie
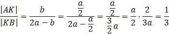
Stosunek :
Wyjaśnienie
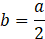
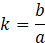
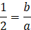
Korzystając z obliczonej skali w podpunkcie a) wyznacz zależność między długością boku a i b. Następnie oblicz stosunek długości boku AK do długości boku KB. Ten stosunek jest równy .