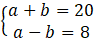
W tym zadaniu musisz obliczyć długości podstaw trapezu, wiedząc, że odcinek łączący środki ramy trapezu ma długość 10, a odcinek łączący środki przekątnych ma długość 4.
Rozwiązanie
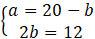
Długości podstaw trapezu to 14 i 6.
Wyjaśnienie
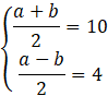
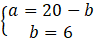
Rozwiąż układ równań z dwoma równaniami, opisującymi zależność pomiędzy długościami podstaw a i b. Wyznacz długości tych podstaw.