Oblicz objętość ostrosłupa, który w podstawie ma trójkąt, a z jednego z jego wierzchołków wychodzą boki: 3 cm, 4 cm, 5 cm.
Odp.: Objętość wynosi 10 cm3.
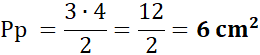
Objętość ostrosłupa obliczamy, stosując wzór:
Zauważ, że nieważne, który z boków przyjmiesz jako wysokość – objętość za każdym razem będzie wynosić 10 cm3.
Zadanie 1.
Zadanie 2
Zadanie 3.
Podpunkt a)
Podpunkt b)
Podpunkt c)
Ćwiczenie 4.
Ćwiczenie 5.
Ćwiczenie 6.
Ćwiczenie 7.
Ćwiczenie 8.
Ćwiczenie 9.
Ćwiczenie 10.
Ćwiczenie 11.
Ćwiczenie 12.
Ćwiczenie 13.
Ćwiczenie 14.
Ćwiczenie 15.
Ćwiczenie 16.
Ćwiczenie 17.
Ćwiczenie 18.
Ćwiczenie 19.
Ćwiczenie 20.
Ćwiczenie 21.
Ćwiczenie 22.
Ćwiczenie 23.
Ćwiczenie 1.
Ćwiczenie 2.
Ćwiczenie 3.
Ćwiczenie 24.