Ppb = 7,5
Pp = (1,5)2 = 2,25
Tworzymy proporcje:
7,5 – 100%
2,25 – x
Proporcje mnożymy „na krzyż”:
7,5x = 225% / : 7,5
x = 30%
Odp.: Pole powierzchni bocznej wynosi 7,5, a pole podstawy stanowi 30% pola powierzchni bocznej.
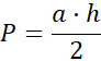
Przelicz kratki na bokach będących podstawą i wysokością, a następnie podłóż do wzoru na pole trójkąta:
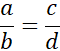
Proporcje możemy mnożyć w tzw. sposób „na krzyż”:
ad = bc