Zadanie

Kąt między ścianą a krawędzią boczną w graniastosłupie ma 30°. Podstawa bryły to czworokąt foremny, którego pole ma 144 cm2. Oblicz pojemność bryły.

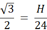
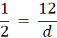
Rozwiązanie

Wyjaśnienie

Zadania z tego działu
Bryły 2
202