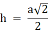
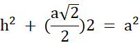
a – długość krawędzi
h – wysokość ostrosłupa
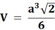
Pp = a2
d – przekątna podstawy
Masz daną długość krawędzi, do wzoru na objętość potrzebujesz jeszcze wysokość. Obliczysz ją stosując twierdzenie Pitagorasa uwzględniając połowę przekątnej podstawy i krawędź ostrosłupa.